کدام استانها بیشترین و کمترین تورم را دارند؟
بیشترین نرخ تورم نقطه به نقطه مربوط به استان سیستان و بلوچستان (٦٧،٩ درصد) و کمترین آن مربوط به استان بوشهر (٤٨.٦ درصد) است.
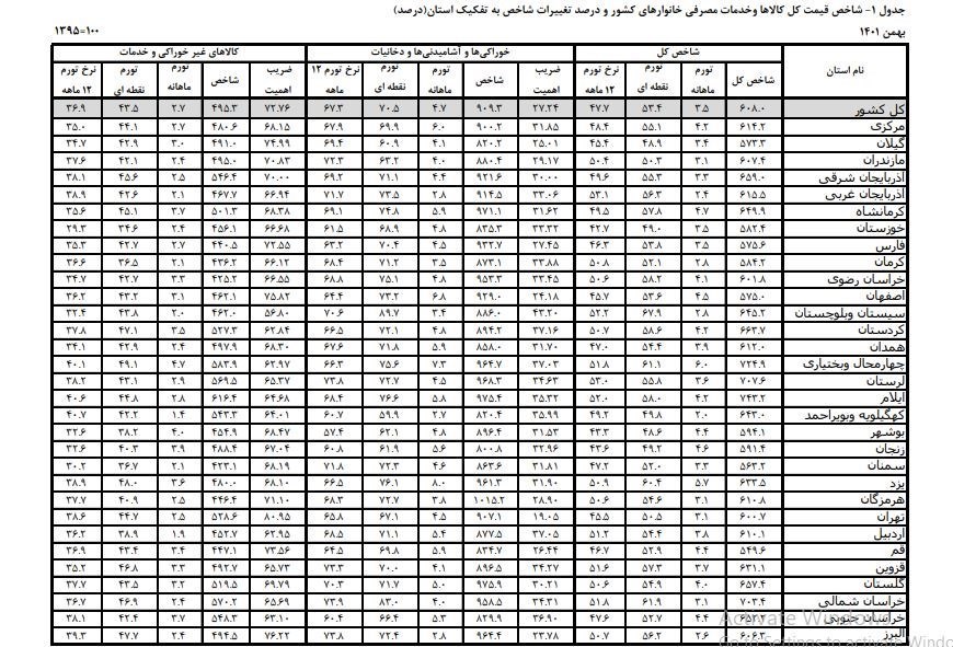
به گزارش سایت طلا،شاخص قیمت مصرف کننده به تفکیک استانها نشان میدهد که در بهمن ماه بیشترین نرخ تورم نقطه به نقطه مربوط به استان سیستان و بلوچستان (٦٧،٩ درصد) و کمترین آن مربوط به استان بوشهر (٤٨.٦ درصد) است.
کل خانوارها
طبق اعلام مرکز آمار، در بهمن ماه 1401 شاخص کل قیمت مصرف کننده برای خانوارهای کشور (100=١٣٩٥) به عدد 68 رسید که نسبت به ماه قبل ٣.٥ درصد افزایش نشان میدهد. در این ماه بیشترین نرخ تورم ماهانه خانوارهای کشور مربوط به استان چهار محال و بختیاری با 6 درصد و کمترین نرخ تورم ماهانه مربوط به استان کهگیلویه و بویر احمد با 2 درصد است.
درصد تغییر شاخص کل نسبت به ماه مشابه سال قبل (تورم نقطه به نقطه) برای خانوارهای کشور ٥٣،٤ درصد میباشد. بیشترین نرخ تورم نقطه به نقطه مربوط به استان سیستان و بلوچستان (٦٧.٩ درصد) و کمترین آن مربوط به استان بوشهر (٤٨.٦ درصد) است.
نرخ تورم دوازده ماهه منتهی به بهمن ماه 1401 برای خانوارهای کشور به عدد ٤٧،٧ درصد رسید. بیشترین نرخ تورم دوازده ماهه مربوط به استان آذربایجان غربی (٥٣.١ درصد) و کمترین آن مربوط به استان خوزستان (٤٢.٧ درصد) است.

خانوارهای شهری
در بهمن ماه 1401 عدد شاخص کل برای خانوارهای شهری (100=١٣٩٥) به ٥٩٨،٣ رسید که نسبت به ماه قبل ٣.٤ درصد افزایش نشان میدهد. در این ماه بیشترین نرخ تورم ماهانه خانوارهای شهری مربوط به استان چهار محال و بختیاری با ٥.٨ درصد و کمترین نرخ تورم ماهانه مربوط به استان کهگیلویه و بویر احمد با ١.٩ درصد است.
درصد تغییر شاخص کل نسبت به ماه مشابه سال قبل (تورم نقطه به نقطه) برای خانوارهای شهری کشور ٥٢،٧ درصد است. بیشترین نرخ تورم نقطه به نقطه خانوارهای شهری مربوط به استان سیستان و بلوچستان (٦٣ درصد) و کمترین آن مربوط به استان بوشهر (٤٦.٢ درصد) است.
نرخ تورم دوازده ماهه منتهی به بهمن ماه 1401 برای خانوارهای شهری به عدد ٤٦،٩ درصد رسید. بیشترین نرخ تورم دوازده ماهه مربوط به استان لرستان (٥٢.١ درصد) و کمترین آن مربوط به استان بوشهر (٤١.١ درصد) است.
خانوارهای روستایی
در بهمن ماه 1401 عدد شاخص کل برای خانوارهای روستایی (100=١٣٩٥) به ٦٦٢،٣ رسید که نسبت به ماه قبل ٤ درصد افزایش داشته است. در این ماه بیشترین نرخ تورم ماهانه خانوارهای روستایی مربوط به استان قم با ٦.٨ درصد و کمترین نرخ تورم ماهانه مربوط به استان سیستان و بلوچستان با ١.٩ درصد میباشد.
درصد تغییر شاخص کل نسبت به ماه مشابه سال قبل (تورم نقطه به نقطه) برای خانوارهای روستایی ٥٦،٧ درصد میباشد. بیشترین نرخ تورم نقطه به نقطه مربوط به استان سیستان و بلوچستان (٧٨.٧ درصد) و کمترین آن مربوط به استان گیلان (٤٩.٢ درصد) است.
نرخ تورم دوازده ماهه منتهی به بهمن ماه 1401 برای خانوارهای روستایی به عدد ٥١،٧ درصد رسید. بیشترین نرخ تورم دوازده ماهه مربوط به استان سیستان و بلوچستان (٥٨.٤ درصد) و کمترین آن مربوط به استان خوزستان (٤٥.٤ درصد) است.